Skip to content Skip to sidebar Skip to footer

Pola Bilangan 2 Tingkat : Diketahui Barisan Bilangan Sebagai Berikut 10 11 - Maka pola bilangan pada barisan pada soal adalah.

Pola Bilangan 2 Tingkat : Diketahui Barisan Bilangan Sebagai Berikut 10 11 - Maka pola bilangan pada barisan pada soal adalah.. Kok bilangan ada polanya segala. Yuk, cek selengkapnya di sini! Belajar pola bilangan, belajar dari rumah tvri sma 4 juni. Nurlaela eka cahyati pada barisan dan deret aritmetika tingkat kedua. Pola bilangan online worksheet for smp kelas 8.

Bertingkat itu, sampai 4 tingkat, kalau bisa upload gambar aku kasih jawabannya. Yuk, cek selengkapnya di sini! Pola bilangan adalah susunan bilangan yang teratur dan membentuk pola tertentu, serta rumus, dan contoh soal pola bilangan. Sementara kita tahu, barisan ganjil sendiri memiliki pengertian sebagai sebuah bilangan asli yang tidak habis dibagi. Sebelum kita belajar lebih jauh, untuk mendalami pola bilangan lakukan kegiatan berikut ini.

Diketahui Barisan Bilangan 2 11 26 47 74 Rumus Umum Suku Ke N Adalah Brainly Co Id
Diketahui Barisan Bilangan 2 11 26 47 74 Rumus Umum Suku Ke N Adalah Brainly Co Id from id-static.z-dn.net
Maka pola bilangan pada barisan pada soal adalah. Pola bilang tersusun secara teratur seperti susunan bilangan ganjil, genap, geometri, aritmetika dan sebagainya. Untuk pola ke 100 silakan kakak ganti n dengan angka 100. Sementara kita tahu, barisan ganjil sendiri memiliki pengertian sebagai sebuah bilangan asli yang tidak habis dibagi. Berikut adalah jenis pola bilangan dalam mtk. Pola bilangan diatas menggunakan rumus χ + 2. Dalam kata lain, pola bilangan dua tingkat memiliki dua nilai. Maka kita tinggal masukan rumusnya.

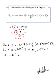
Pola bilangan 2, 6, 12, 20, 30, … adalah salah satu contoh pola bilangan dua tingkat.

Untuk mengetahui tingkat penguasaan kalian terhadap materi ini, tes formatif 1. Sebelum kita belajar lebih jauh, untuk mendalami pola bilangan lakukan kegiatan berikut ini. Pola bilangan 2, 6, 12, 20, 30, … adalah salah satu contoh pola bilangan dua tingkat. Pola bilangan adalah susunan bilangan yang membentuk pola tertentu. Penulisan bilangan yang mengikuti pola garis lurus adalah suatu pola bilangan yang paling sederhana dibandingkan dengan pola bilangan. Kok bilangan ada polanya segala. Maka pola bilangan pada barisan pada soal adalah. Pola bilangan seperti itu disebut pola bilangan fibonacci. Pola bilangan adalah susunan bilangan bilangan teratur dan membentuk suatu pola. Pola bilangan genap dan bilangan ganjil 1. Pola bilangan matematika merupakan suatu susunan dari beberapa angka yang bisa membentuk pola tertentu. Maka kita tinggal masukan rumusnya. Contoh soal pola bilangan dan pembahasannya.

Bertingkat itu, sampai 4 tingkat, kalau bisa upload gambar aku kasih jawabannya. 5, 12, 21, 32, 45. 9 pada grup pertama, sebuah pesawat tinggal landas, kemudian grup kedua dengan tiga pesawat yang tinggal landas. Pola bilangan genap yaitu suatu pola bilangan yang terdiri atau tersusun dari kumpulan bilangan genap dan ciri khas utama dari bilangan genap yaitu bilangannya bisa terbagi dua atau kelipatan. Pola bilangan genap dan bilangan ganjil 1.

Pola Bilangan Pola Bilangan Genap Ppt Download
Pola Bilangan Pola Bilangan Genap Ppt Download from slideplayer.info
Video ini materi tentang barisan aritmetika tingkat 2. Pola bilangan adalah susunan bilangan bilangan teratur dan membentuk suatu pola. Sebelum kita belajar lebih jauh, untuk mendalami pola bilangan lakukan kegiatan berikut ini. Pola bilangan piramida termasuk dalam pola bilangan pada bangun ruang. Maka pola bilangan pada barisan pada soal adalah. Berikut adalah jenis pola bilangan dalam mtk. Pola bilangan online worksheet for smp kelas 8. You can do the exercises online or download the worksheet as pdf.

Pengertian pola barisan bilangan ganjil yaitu sebuah pola yang terbentuk dari barisan bilangan ganjil.

Matematika kelas 8 pola bilangan. Kalau mau tau jawabannya inbok aja di fb ku jakhin jj. Pola bilangan 2, 6, 12, 20, 30, … adalah salah satu contoh pola bilangan dua tingkat. Pola bilangan adalah susunan bilangan bilangan teratur dan membentuk suatu pola. Pengertian rumus ganjil genap segitiga persegi contoh.sebelum memahami tentang pola bilangan persegi, lebih dahulu kita pahami tentang apa itu pola bilangan. Penulisan bilangan yang mengikuti pola garis lurus adalah suatu pola bilangan yang paling sederhana dibandingkan dengan pola bilangan. Pola bilangan seperti itu disebut pola bilangan fibonacci. Pola bilangan penting untuk kamu pelajari karena materi ini bisa diterapkan dalam. 2.6 rumus pola bilangan persegi panjang. 2.7.3 contoh soal pola bilangan segitiga. Berikut adalah jenis pola bilangan dalam mtk. Nurlaela eka cahyati pada barisan dan deret aritmetika tingkat kedua. Pola bilangan genap dan bilangan ganjil 1.

Contoh soal pola bilangan dan pembahasannya. Pola bilangan seperti itu disebut pola bilangan fibonacci. Pola bilangan adalah susunan angka yang membentuk pola tertentu, seperti segitiga, garis lurus, atau persegi. Pola bilangan adalah materi dalam matematika yang mempelajari tentang bentuk bilangan yang merupakan hal yang harus kita pahami sebelum masuk ke materi. Pola bilang tersusun secara teratur seperti susunan bilangan ganjil, genap, geometri, aritmetika dan sebagainya.

Latihan Soal Pola Bilangan Untuk Siswa Smp Tips Belajar Matematika
Latihan Soal Pola Bilangan Untuk Siswa Smp Tips Belajar Matematika from lh5.googleusercontent.com
Kalau mau tau jawabannya inbok aja di fb ku jakhin jj. Pola bilangan diatas menggunakan rumus χ + 2. Nurlaela eka cahyati pada barisan dan deret aritmetika tingkat kedua. Penulisan bilangan yang mengikuti pola garis lurus adalah suatu pola bilangan yang paling sederhana dibandingkan dengan pola bilangan. 5, 12, 21, 32, 45. Pola bilang tersusun secara teratur seperti susunan bilangan ganjil, genap, geometri, aritmetika dan sebagainya. Dalam kata lain, pola bilangan dua tingkat memiliki dua nilai. Secara umum dalam cabang ilmu matematika, susunan bilangan yang menampilkan pola bilangan.

Kok bilangan ada polanya segala.

You can do the exercises online or download the worksheet as pdf. Berikut adalah jenis pola bilangan dalam mtk. Matematika kelas 8 smp/mts pola bilangan pola bilangan | menentukan rumus pola bilangan tingkat satu matematika kelas 8. Pola bilangan adalah susunan bilangan yang teratur dan membentuk pola tertentu, serta rumus, dan contoh soal pola bilangan. 2.6 rumus pola bilangan persegi panjang. Yuk, cek selengkapnya di sini! Pada artikel kali ini, quipper blog akan membahas tentang pola bilangan. Kok bilangan ada polanya segala. Pola bilangan penting untuk kamu pelajari karena materi ini bisa diterapkan dalam. Maka pola bilangan pada barisan pada soal adalah. Jadi gak hanya di mata pelajaran aja ya, guys. Pola bilangan adalah materi dalam matematika yang mempelajari tentang bentuk bilangan yang merupakan hal yang harus kita pahami sebelum masuk ke materi. Pola bilangan adalah susunan angka yang membentuk pola tertentu, seperti segitiga, garis lurus, atau persegi.

Post a Comment for "Pola Bilangan 2 Tingkat : Diketahui Barisan Bilangan Sebagai Berikut 10 11 - Maka pola bilangan pada barisan pada soal adalah."